Kapak Bülteni Yıl: 2019 Sayı: 2


Kalp Kapak Hastalıkları Çalışma Grubu
Yönetim Kurulu


Başkan:
Dr. İbrahim Halil Kurt

Y.K. adına Koordinatör:
Dr. Ertuğrul Okuyan

Y.K. adına Koordinatör:
Dr. Eralp Tutar

Üyeler
Dr. Cem Doğan
Dr. Bedri Caner Kaya
Dr. Kadir Uğur Mert
Dr. Mehmet Levent Şahiner
Dr. Hatice Tolunay






2--22--2

Kapak Bülteni - Cerrahi riski düşük ciddi aort darlığı hastalarında transkateter aort kapak implantasyonu (Mart 2019) ()Cerrahi riski düşük ciddi aort darlığı hastalarında transkateter aort kapak implantasyonu (Mart 2019)

Cerrahi riski orta veya yüksek olan semptomatik, ciddi aort darlığı hastalarında transkateter aort kapak implantasyonunun (TAVI) cerrahi aort kapak replasmanına (AVR) benzer veya üstün olduğu gösterildi. Ancak, düşük cerrahi riski olan hastalarda kanıtlar sınırlıdır. İki randomize çalışma, ciddi aort darlığı bulunan ve düşük cerrahi riskli hastalarda TAVI ve cerrahi AVR'yi karşılaştırdı.

Evolut Low Risk çalışmasında, özellikleri birbirine benzeyen 1400'den fazla hasta iki gruba ayrılmışlar, bunlardan ilk grup kendiliğinden açılan TAVI ile tedavi edilerek yakından takip ve kontrol edilmiş, iki yıllık bir gözlem süresini tamamlamıştır. İkinci grup hasta cerrahi AVR ile tedavi altına alınmış, yine ilk haftalardan itibaren iki yıl boyunca yakından izlenmişlerdir. Bu iki hasta grubunda ikinci yıldaki ölüm veya sekel bırakan inme bileşik sonlanım noktası arasında anlamlı farklılık görülmemiştir. TAVI grubunda birinci yılda yeniden hastaneye yatış oranları daha az görülmüştür. Otuzuncu günde TAVI kolunda, sekel bırakan inme, kanama ve atriyal fibrilasyon oranları daha düşüktü, ancak daha yüksek oranda orta veya ciddi aort yetmezliği ve kalıcı kalp pili implantasyonu görülmüştür.

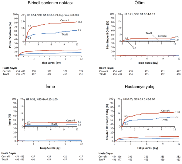
PARTNER 3 (Transcatheter or Surgical Aortic Valve Replacement in Low-Risk Patients) çalışmasında, cerrahi riski düşük 1000 hasta rastgele bir şekilde balonla genişleyen Edwards SAPIEN 3 kapakla TAVI veya cerrahi AVR gruplarına ayrılmışlardır. Hastaların 503’ü TAVI, 497’si cerrahi AVR’ye randomize edilmiş, 496’sına TAVI, 454’üne cerrahi AVR yapılmıştır. Transfemoral erişimi kötü olan veya zorlayıcı sol ventrikül çıkış yolu veya aort kökü özellikleri olan hastalar çalışmadan dışlanmıştır. TAVI grubunda 7 hastaya, cerrahi grubunda 41 hastaya işlem yapılmamıştır. Ortalama hasta yaşı her iki grupta 73 idi.  Ortalama STS skoru yüzde 1.9’dur.

TAVI kolunda birincil sonlanım noktası (birinci yılda ölüm, sekel bırakan inme veya tekrar hastaneye yatış) sıklığı cerrahi AVR grubuna göre anlamlı farklılık göstermiş, TAVI kolunda bu olaylar daha az meydana gelmiştir (yüzde 8.5 karşın yüzde 15.1, non-inferiority p<0.001, superiority p=0.001). Otuz günlük inme, inme/ölüm ve yeni başlayan atriyal fibrilasyon oranları TAVI grubunda daha az saptanmıştır. Hastanede yatış süresi TAVI kolunda daha kısadır. Majör vasküler komplikasyonlar, kalıcı kalp pili yerleştirme sıklığı veya orta ya da ciddi aort yetersizliği iki tedavi grubunda benzer saptanmıştır.

Bu çalışmaların sonuçlarına dayanarak ve daha yüksek cerrahi riski olan hastalarda önceki önerilere benzer olarak, düşük cerrahi riski olan semptomatik, ciddi aort darlığı bulunan çoğu hasta için cerrahi AVR yerine transfemoral TAVI kullanımı öncelikli önerilebilir. Bununla birlikte, cerrahi AVR aşağıdaki özelliklerden bir veya daha fazlasına sahip hastalarda TAVI'ye tercih edilmelidir: Biküspid veya uniküspid aort kapağı, kötü transfemoral erişim, yoğun sol ventrikül çıkış yolu kalsifikasyonu veya işlemi zorlaştıran aort kökü yapısının bulunması.

Kaynak: Popma JJ, Deeb GM, Yakubov SJ, Mumtaz M, Gada H, O'Hair D, Bajwa T, Heiser JC, Merhi W, Kleiman NS, Askew J, Sorajja P, Rovin J, Chetcuti SJ, Adams DH, Teirstein PS, Zorn GL 3rd, Forrest JK, TchétchéD, Resar J, Walton A, Piazza N, Ramlawi B, Robinson N, Petrossian G, Gleason TG, Oh JK, Boulware MJ, Qiao H, Mugglin AS, Reardon MJ, Evolut Low Risk Trial Investigators. Transcatheter Aortic-Valve Replacement with a Self-Expanding Valve in Low-Risk Patients. N Engl J Med. 2019;380(18):1706.

Mack MJ, Leon MB, Thourani VH, Makkar R, Kodali SK, Russo M, Kapadia SR, Malaisrie SC, Cohen DJ, Pibarot P, Leipsic J, Hahn RT, Blanke P, Williams MR, McCabe JM, Brown DL, Babaliaros V, Goldman S, Szeto WY, Genereux P, Pershad A, Pocock SJ, Alu MC, Webb JG, Smith CR, PARTNER 3 Investigators. Transcatheter Aortic-Valve Replacement with a Balloon-Expandable Valve in Low-Risk Patients. N Engl J Med. 2019;380(18):1695.



2--2

 2026 © Bu sitenin tüm hakları Türk Kardiyoloji Derneğine aittir.